جواب صفحه ۱۴۲ ریاضی دوازدهم تجربی ✍️ تمرین با تدریس ویدیویی
گام به گام و حل تمرین صفحه 142 ریاضی دوازدهم علوم تجربی از فصل 6 هندسه درس 2 دایره
پاسخ تمرین صفحه ۱۴۲ ریاضی دوازدهم متوسطه دوم رشته علوم تجربی از فصل ۶ «هندسه» درس «دایره» را با با راه حلهای صحیح و تصویری در ادامه در بخش آموزش و پرورش ماگرتا برای کمک به شما دانش آموز کوشا آماده کردهایم.
پاسخ صفحه بعدی: جواب صفحه ۱۴۸ ریاضی دوازدهم تجربی

فیلم آموزشی صفحه ۱۴۲ ریاضی دوازدهم تجربی
در ویدیو زیر می توانید پاسخ صفحه ۱۴۲ را با توضیح کامل مشاهده کنید و مشکلات خود را برطرف کنید. همچنین در ادامه مقاله نیز به این سوالات پاسخ داده شده است.
جواب تمرین صفحه ۱۴۲ ریاضی دوازدهم تجربی
۱. در هر دایره مختصات مرکز دایره و اندازهٔ شعاع آن را پیدا کنید، محل تقاطع هر دایره را با محورهای مختصات، در صورت وجود مشخص کنید و درستی پاسخ خود را به کمک رسم دایره بررسی کنید.


۲. در حالت های زیر معادلهٔ دایره را بنویسید:


۴. شهرداری قصد دارد در یک فضای سبز دایره ای شکل به شعاع ۱۳۰۰ متر، دو مسیر پیاده روی مطابق شکل بسازد. اگر مختصات مرکز دایره (۱۳,۱۳) و هر واحد برابر ۱۰۰ متر باشد:


۵. معادلهٔ گستردهٔ یک دایره به شکل x۲+y۲+۲x+۲y−۸=۰ است. مختصات مرکز دایره و اندازهٔ شعاع آن را پیدا کنید و معادلهٔ آن را به شکل استاندارد بنویسید.

۶. وضع خط های زیر را نسبت به دایره مشخص کنید.

۷. اگر بدانیم خط l در نقطه (۳,۴) بر دایره ای به مرکز مبدأ مختصات مماس است، معادلهٔ خط مماس چیست؟


۸. معادلهٔ دایره ای را بنویسید که مرکز آن، نقطهٔ (۰,۳) و بر خط ۳x-۴y=۳ مماس باشد.

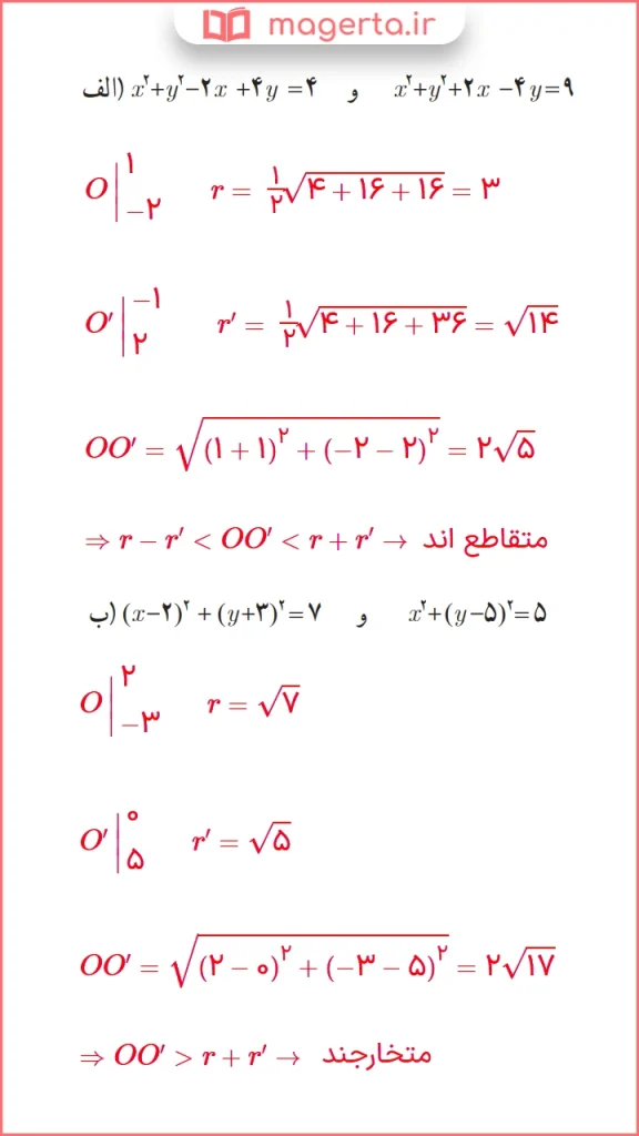
۹. مشخص کنید در حالت های زیر دو دایره نسبت به هم چه وضعی دارند؟

۱۰. معادلهٔ دایره ای را بنویسید که مرکز آن (۱-,۱-) و با دایرۀ x۲+y۲−۴x−۶y=۳ مماس درون باشد.

⚠️ دانش آموز عزیز به این نکته نیز توجه داشته باشید که مطالب درسی قرار گرفته شده در این صفحه فقط جنبه کمک آموزشی دارد لذا قبل از استفاده کردن از آن ها حتما خودتان نیز به سوالات پاسخ دهید تا مفهوم درس را به خوبی متوجه شوید.
پاسخ صفحه قبلی: جواب صفحه ۱۴۱ ریاضی دوازدهم تجربی
🔔 در این بخش جواب صفحه ۱۴۲ ریاضی دوازدهم تجربی که مربوط به فصل ۶ می باشد را مرور کردیم، اگر سوالی دارید از بخش نظرات بپرسید. جهت مشاهده پاسخ سایر تمرین های کتاب شماره صفحه آن را به همراه عبارت «ماگرتا» در گوگل جست و جو کنید.


















